4.2: More on Finding The Zeros of Polynomial Functions
- Page ID
- 99732
\( \newcommand{\vecs}[1]{\overset { \scriptstyle \rightharpoonup} {\mathbf{#1}} } \)
\( \newcommand{\vecd}[1]{\overset{-\!-\!\rightharpoonup}{\vphantom{a}\smash {#1}}} \)
\( \newcommand{\dsum}{\displaystyle\sum\limits} \)
\( \newcommand{\dint}{\displaystyle\int\limits} \)
\( \newcommand{\dlim}{\displaystyle\lim\limits} \)
\( \newcommand{\id}{\mathrm{id}}\) \( \newcommand{\Span}{\mathrm{span}}\)
( \newcommand{\kernel}{\mathrm{null}\,}\) \( \newcommand{\range}{\mathrm{range}\,}\)
\( \newcommand{\RealPart}{\mathrm{Re}}\) \( \newcommand{\ImaginaryPart}{\mathrm{Im}}\)
\( \newcommand{\Argument}{\mathrm{Arg}}\) \( \newcommand{\norm}[1]{\| #1 \|}\)
\( \newcommand{\inner}[2]{\langle #1, #2 \rangle}\)
\( \newcommand{\Span}{\mathrm{span}}\)
\( \newcommand{\id}{\mathrm{id}}\)
\( \newcommand{\Span}{\mathrm{span}}\)
\( \newcommand{\kernel}{\mathrm{null}\,}\)
\( \newcommand{\range}{\mathrm{range}\,}\)
\( \newcommand{\RealPart}{\mathrm{Re}}\)
\( \newcommand{\ImaginaryPart}{\mathrm{Im}}\)
\( \newcommand{\Argument}{\mathrm{Arg}}\)
\( \newcommand{\norm}[1]{\| #1 \|}\)
\( \newcommand{\inner}[2]{\langle #1, #2 \rangle}\)
\( \newcommand{\Span}{\mathrm{span}}\) \( \newcommand{\AA}{\unicode[.8,0]{x212B}}\)
\( \newcommand{\vectorA}[1]{\vec{#1}} % arrow\)
\( \newcommand{\vectorAt}[1]{\vec{\text{#1}}} % arrow\)
\( \newcommand{\vectorB}[1]{\overset { \scriptstyle \rightharpoonup} {\mathbf{#1}} } \)
\( \newcommand{\vectorC}[1]{\textbf{#1}} \)
\( \newcommand{\vectorD}[1]{\overrightarrow{#1}} \)
\( \newcommand{\vectorDt}[1]{\overrightarrow{\text{#1}}} \)
\( \newcommand{\vectE}[1]{\overset{-\!-\!\rightharpoonup}{\vphantom{a}\smash{\mathbf {#1}}}} \)
\( \newcommand{\vecs}[1]{\overset { \scriptstyle \rightharpoonup} {\mathbf{#1}} } \)
\( \newcommand{\vecd}[1]{\overset{-\!-\!\rightharpoonup}{\vphantom{a}\smash {#1}}} \)
\(\newcommand{\avec}{\mathbf a}\) \(\newcommand{\bvec}{\mathbf b}\) \(\newcommand{\cvec}{\mathbf c}\) \(\newcommand{\dvec}{\mathbf d}\) \(\newcommand{\dtil}{\widetilde{\mathbf d}}\) \(\newcommand{\evec}{\mathbf e}\) \(\newcommand{\fvec}{\mathbf f}\) \(\newcommand{\nvec}{\mathbf n}\) \(\newcommand{\pvec}{\mathbf p}\) \(\newcommand{\qvec}{\mathbf q}\) \(\newcommand{\svec}{\mathbf s}\) \(\newcommand{\tvec}{\mathbf t}\) \(\newcommand{\uvec}{\mathbf u}\) \(\newcommand{\vvec}{\mathbf v}\) \(\newcommand{\wvec}{\mathbf w}\) \(\newcommand{\xvec}{\mathbf x}\) \(\newcommand{\yvec}{\mathbf y}\) \(\newcommand{\zvec}{\mathbf z}\) \(\newcommand{\rvec}{\mathbf r}\) \(\newcommand{\mvec}{\mathbf m}\) \(\newcommand{\zerovec}{\mathbf 0}\) \(\newcommand{\onevec}{\mathbf 1}\) \(\newcommand{\real}{\mathbb R}\) \(\newcommand{\twovec}[2]{\left[\begin{array}{r}#1 \\ #2 \end{array}\right]}\) \(\newcommand{\ctwovec}[2]{\left[\begin{array}{c}#1 \\ #2 \end{array}\right]}\) \(\newcommand{\threevec}[3]{\left[\begin{array}{r}#1 \\ #2 \\ #3 \end{array}\right]}\) \(\newcommand{\cthreevec}[3]{\left[\begin{array}{c}#1 \\ #2 \\ #3 \end{array}\right]}\) \(\newcommand{\fourvec}[4]{\left[\begin{array}{r}#1 \\ #2 \\ #3 \\ #4 \end{array}\right]}\) \(\newcommand{\cfourvec}[4]{\left[\begin{array}{c}#1 \\ #2 \\ #3 \\ #4 \end{array}\right]}\) \(\newcommand{\fivevec}[5]{\left[\begin{array}{r}#1 \\ #2 \\ #3 \\ #4 \\ #5 \\ \end{array}\right]}\) \(\newcommand{\cfivevec}[5]{\left[\begin{array}{c}#1 \\ #2 \\ #3 \\ #4 \\ #5 \\ \end{array}\right]}\) \(\newcommand{\mattwo}[4]{\left[\begin{array}{rr}#1 \amp #2 \\ #3 \amp #4 \\ \end{array}\right]}\) \(\newcommand{\laspan}[1]{\text{Span}\{#1\}}\) \(\newcommand{\bcal}{\cal B}\) \(\newcommand{\ccal}{\cal C}\) \(\newcommand{\scal}{\cal S}\) \(\newcommand{\wcal}{\cal W}\) \(\newcommand{\ecal}{\cal E}\) \(\newcommand{\coords}[2]{\left\{#1\right\}_{#2}}\) \(\newcommand{\gray}[1]{\color{gray}{#1}}\) \(\newcommand{\lgray}[1]{\color{lightgray}{#1}}\) \(\newcommand{\rank}{\operatorname{rank}}\) \(\newcommand{\row}{\text{Row}}\) \(\newcommand{\col}{\text{Col}}\) \(\renewcommand{\row}{\text{Row}}\) \(\newcommand{\nul}{\text{Nul}}\) \(\newcommand{\var}{\text{Var}}\) \(\newcommand{\corr}{\text{corr}}\) \(\newcommand{\len}[1]{\left|#1\right|}\) \(\newcommand{\bbar}{\overline{\bvec}}\) \(\newcommand{\bhat}{\widehat{\bvec}}\) \(\newcommand{\bperp}{\bvec^\perp}\) \(\newcommand{\xhat}{\widehat{\xvec}}\) \(\newcommand{\vhat}{\widehat{\vvec}}\) \(\newcommand{\uhat}{\widehat{\uvec}}\) \(\newcommand{\what}{\widehat{\wvec}}\) \(\newcommand{\Sighat}{\widehat{\Sigma}}\) \(\newcommand{\lt}{<}\) \(\newcommand{\gt}{>}\) \(\newcommand{\amp}{&}\) \(\definecolor{fillinmathshade}{gray}{0.9}\)Focus: Finding the Zeros of Larger Polynomial Functions Without a Common Factor
In the previous section, we were able to find the zeros of some polynomial functions which had a common factor like \(f(x)=x^3-x^2-6x\) and could be easily factored into linear and/or quadratic factors with tools from algebra. However, other polynomial functions like \(g(x)=x^3-13x+12\) do not have a common factor. \(g(x)\) not a quadratic function, so we can't use the quadratic formula. In this section, we will explore strategies to find the zeros of larger polynomial functions that don't have a common factor where tools from we know from algebra don't work.
Let's start with a simpler case. What if one zero of a polynomial is known, can we find the others?
Case: One zero is known
Now \(x=1\) is a zero of \(g(x)=x^3-13x+12\) since \(g(1)=(1)^3-13(1)+12=0\). Since \(x=1\) is a zero, we know that \( (x-1) \) is a factor from section 3.3. We know one factor of \(g(x)\) but not the other, so \[g(x)=x^3-13x+12=(x-1)(\text{other factor}) \nonumber \]
How can we find the other factor and thus partially factor \(g(x)\)?
Let's look a simpler version of same question with numbers. Now, 5 is a factor of 105. So \[5 \cdot \text{?} = 105 \nonumber \]How can we find the other factor? Divide! \[ \text{?} = \dfrac{105}{5}=21 \nonumber \] So 105 factors as \[ 105 = 5 \cdot 21 \nonumber \] which we can further factor 105 as \[ 105 = 5 \cdot 7 \cdot 3 \nonumber \]
We can do something similar to find the other factor of our polynomial \(g(x)=x^3-13x+12\). We can divide our polynomial by the known factor \( (x-1) \) \[\text{other factor}=\dfrac{x^3-13x+12}{x-1} \nonumber \] We can divide polynomials in a manner similar to the way we divided numbers with long division.
To divide the numbers \(\dfrac{105}{5}\) with long division,we start by trying to divide the largest digit 1 in the dividend 105 by the divisor 5. Since 1 is smaller that the divisor 5, we included the next largest digit of the dividend and followed these steps
- We divide the largest digits 10 by 5 \( \dfrac{10}{5}=2\)
- We multiply this number by the divisor \(5 \cdot 2 = 10\)
- Then subtracted this number from the largest digits in the divisor \(10 -10 = 0\)
\[ \begin{array}{r} 2 \\ 5 \overline{\Big{)} 105 } \\
-10 \text{ } \\
\hline 5 \end{array} \nonumber \]
We then brought down the 5, and repeated the process again with the remaining number, 5, and our divisor 5.
- We divide the largest remaining digit 5 by the divisor 5, we have \( \dfrac{5}{5}=1\)
- We multiply this number by the divisor \(5 \cdot 1 = 5\)
- Then subtracted this number from the largest digits in the divisor \(10 -10 = 0\)
\[ \begin{array}{r} 21 \\ 5 \overline{\Big{)} 105 } \\
-10 \text{ } \\
\hline 5 \\ - 5 \\ \hline 0 \end{array} \nonumber \]
Since 5 was a factor of 105, we know that 5 should divide into 105 evenly without a remainder. Now we are able to factor partially factor 105 as we did above.
We can use a similar algorithm to divide polynomials with a process called long division of polynomials. To divide the polynomials mentioned above to find other factor \(\dfrac{x^3-13x+12}{x-1} \) where \(x-1 \) is our divisor and \(x^3-13x+12 \) is the dividend.

- Divide the largest term in the dividend \(x^3\) by the largest term in the divisor \(x\). So \(\dfrac{x^3}{x}=x^2\). Put this term in the quotient above the long division symbol.
- Multiply the term \(x^2\) by the divisor \(x-1\). So \(x^2(x-1) = x^3-x^2 \)
- Then subtract this from the dividend. So \( (x^3-13x+12) - (x^3-x^2) = x^2-13x+12 \)

Then we can repeat this process with \(x^2-13x+12\). Notice I added a \(0x^2\) term to help keep like terms in the same column to assist with the subtraction.
- Divide the largest term in the result \(x^2\) by the largest term in the divisor \(x\). So \(\dfrac{x^2}{x}=x\). Put this term in the quotient above the long division symbol.
- Multiply the term \(x\) by the divisor \(x-1\). So \(x(x-1) = x^2-x \)
- Then subtract this from \(x^2-13x+12\). So \( (x^2-13x+12) - (x^2-x) = -12x+12 \)

Then we can repeat this process with \(-12x+12\)
- Divide the largest term in the result \(-12x\) by the largest term in the divisor \(x\). So \(\dfrac{-12x}{x}=-12\). Put this term in the quotient above the long division symbol.
- Multiply the term \(-12\) by the divisor \(x-1\). So \(-12(x-1) = -12x+12 \)
- Then subtract this from \(-12x+12\). So \( (-12x+12 - (-12x+12) = 0 \)

Like with long division of numbers, we continue this algorithm until the result is smaller in degree that the divisor. Notice that we end up with a remainder of zero. Since we knew that \( (x-1) \) was a factor of \(x^3-13x+12\), we know that \( (x-1) \) should divide into \(x^3-13x+12\) evenly without a remainder.
Now we have partially factored \(f(x) = x^3-13x+12\) and can factor it further to find the other zeros. \[f(x) = x^3-13x+12=(x-1)(x^2+x-12)=(x-1)(x+4)(x-3) \nonumber \] Therefore \(f(x) = x^3-13x+12\) has zeros \(x=1\), \(x=-4\), and \(x=3\) each with multiplicity one.
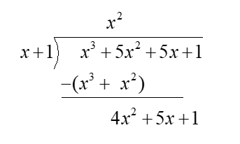
Let \(f(x) = x^{3} +5x^{2} +5x+1\). Given that \(x=-1\) is a zero of \(f(x) \),
- Use long division of polynomials to divide \(f(x) = x^{3} +5x^{2} +5x+1\) by the corresponding factor \( (x+1) \) of the known zero.
- Factor \(f(x)\) and find the remaining zeros.
Solution
- Let's start by writing the problem out in long division form

Then begin the algorithm of long division. First, we divide the largest term in the dividend by the largest term in the divisor: \(\dfrac{x^{3}}{x}=x^{2}\). I recommend we align it above the same-powered term in the dividend. Then multiply this by the divisor \(x^{2}(x+1) = x^3+x^2\) and then subtract as shown below.

Then we repeat the algorithm for long division with the result \(4x^2+5x+1\). First, we divide the largest term in this polynomial by the largest term in the divisor: \(\dfrac{4x^{2}}{x}=4x\). Now, multiply this by the divisor \(4x(x+1) = 4x^2+4x\) and then subtract as shown below.

Then we repeat the algorithm for long division with the result \(x+1\). First, we divide the largest term in this polynomial by the largest term in the divisor: \(\dfrac{x}{x}=1\). Then, multiply this by the divisor \(1(x+1) = x+1\) and then subtract as shown below.

This tells us \(x^{3} +5x^{2} +5x+1\) divided by \(x+1\) is \(x^{2} +4x+1\) with a remainder of zero.
- We can use our result from the long division to factor \(x^{3} +5x^{2} +5x+1\) as \[f(x)=x^{3} +5x^{2} +5x+1=(x+1)(x^{2} +4x+1) \nonumber \] Setting each factor to zero and solving, we have \[x+1=0 \text{ and } x^{2} +4x+1=0 \nonumber \] The first equation gives us the known zero \[x=-1 \nonumber \] Using the quadratic formula to solve the second equation since it is not easily factored into linear factors, the other zeros are \[x=\dfrac{-4 \pm \sqrt{4^2-4(1)(1)}}{2(1)}=\dfrac{-4 \pm \sqrt{12}}{2}= \dfrac{-4 \pm 2 \sqrt{3}}{2}=\dfrac{-4}{2} \pm \dfrac{\sqrt{3}}{2} = -2 \pm \dfrac{\sqrt{3}}{2} \nonumber \] So the real zeros (and x-intercepts) are \(x=-1\) and \( x = -2 \pm \dfrac{\sqrt{3}}{2}\) each with multiplicity one.
Example \(\PageIndex{2}\)
Let \(f(x) = x^{3} +4x^{2} -5x-14\). Given that \(x=2\) is a zero of \(f(x) \),
- Use long division of polynomials to divide \(f(x) = x^{3} +4x^{2} -5x-14\) by the corresponding factor \( (x-2) \) of the known zero.
- Factor \(f(x)\) and find the remaining zeros.
Solution
- Let's start by writing the problem out in long division form

Then begin the algorithm of long division. First, we divide the largest term in the dividend by the largest term in the divisor: \(\dfrac{x^{3}}{x}=x^{2}\). Then multiply this by the divisor \(x^{2}(x-2) = x^3-2x^2\) and then subtract as shown below.

Then we repeat the algorithm for long division with the result \(6x^2-5x-14\). First, we divide the largest term in this polynomial by the largest term in the divisor: \(\dfrac{6x^{2}}{x}=6x\). Then multiply this by the divisor \(6x(x-2) = 6x^2-12x\) and then subtract as shown below.

Then we repeat the algorithm for long division with the result \(7x-14\). First, we divide the largest term in this polynomial by the largest term in the divisor: \(\dfrac{7x}{x}=7x\). Then multiply this by the divisor \(7(x-2) = 7x-14\) and then subtract as shown below.

This tells us \(x^{3} +4x^{2} -5x-14\) divided by \(x-2\) is \(x^{2} +6x+7\) with a remainder of zero.
- We can our result from the long division to factor \(x^{3} +4x^{2} -5x-14\) as \[f(x)=x^{3} +4x^{2} -5x-14=(x-2)(x^2+6x+7) \nonumber \] Setting each factor to zero and solving, we have \[x-2=0 \text{ and } x^2+6x+7=0 \nonumber \] The first equation gives us the known zero \[x=2 \nonumber \] Using the quadratic formula to solve the second equation, the other zeros are \[x=\dfrac{-6 \pm \sqrt{6^2-4(1)(7)}}{2(1)}=\dfrac{-6 \pm \sqrt{-16}}{2}= \dfrac{-6 \pm 4i}{2}=\dfrac{-6}{2} \pm \dfrac{4i}{2} = -3 \pm 2i \nonumber \] So the only real zero (and x-intercept) is \(x=2\) with multiplicity one.
Given that \(x=3\) is a zero of \(f(x)=2x^3-3x^2-11x+6\) find the other zeros.
Solution
Let's start by writing the problem out in long division form

Then begin the algorithm of long division. First, we divide the largest term in the dividend by the largest term in the divisor: \(\dfrac{2x^{3}}{x}=2x^{2}\). Then multiply this by the divisor \(2x^{2}(x-3) = 2x^3-6x^2\) and then subtract as shown below.

Then we repeat the algorithm for long division with the result \(3x^2-11x+6\). First, we divide the largest term in this polynomial by the largest term in the divisor: \(\dfrac{3x^{2}}{x}=3x\). Then multiply this by the divisor \(3x(x-3) = 3x^2-9x\) and then subtract as shown below.

Then we repeat the algorithm for long division with the result \(-2x+6\). First, we divide the largest term in this polynomial by the largest term in the divisor: \(\dfrac{-2x}{x}=-2\). Then multiply this by the divisor \(-2(x-3) = -2x+6\) and then subtract as shown below.

This tells us \(2x^{3} -3x^{2} -11x+6\) divided by \(x-3\) is \(2x^{2} +3x-2\) with a remainder of zero.
We can our result from the long division to factor \(f(x)\) as \[2x^{3} -3x^{2} -11x+6=(x-3)(2x^{2} +3x-2)=(x-3)(2x-1)(x+2) \nonumber \]Setting each factor to zero and solving, we have the real zeros (and x-intercepts) are \(x=3\), \(x=-2\) and \( x = \dfrac{1}{2}\) each with multiplicity one.
With numbers when we divide a number by a known factor, the remainder is always zero as we saw with 5 and 105 in the introduction of this section: \[ 5 \cdot( ? ) = 105 \text{ and so } \dfrac{105}{5} = 21 \nonumber \]with a remainder of zero. In Section 3.3 we learned that if \(x=k\) is zero of a polynomial \(f(x)\), then \( (x-k) \) is a factor of \(f(x) \). Therefore, the remainder is zero when \(f(x) \) is divided by \( (x-k) \) as illustrated by examples 4.2.1 - 4.2.3. This gives us a way to verify if our long division was correct when dividing by the corresponding factor of a zero.
If a polynomial \(y=f(x)\) has a zero \(x=k\), then the remainder when \(y=f(x)\) is divided by the corresponding factor \( (x-k) \) is zero.
Now You Try: Exercise \(\PageIndex{1}\)
- Divide \(f(x) = 5x^{3} -6x^2-28x+6\) by \( (x+2) \) using long division.
- What does the result of your long division tell you about whether \(x=2\) is a zero of \(f(x)\)?
- Answer
-

- \(x=2\) is a not a zero of \(f(x)=5x^{3} -6x^2-28x+6\) since \( (x+2) \) does not divide into it with a remainder of zero.
Given that \(x=1\) is a zero of \(f(x)=x^3-6x^2+11x-6\), use long division of polynomials to find the other zeros.
- Answer
-
\(f(x)=x^3-6x^2+11x-6\) has zeros \(x=1\), \(x=1\), and \(x=1\) each with multiplicity one since \[\dfrac{x^3-6x^2+11x-6}{x-1}=x^2-5x+6 \nonumber \] and so \[x^3-6x^2+11x-6=(x-1)(x^2-5x+6)=(x-1)(x-2)(x-3) \nonumber \] The long division is shown below.

Exercise 4.3.1 brings up an important question. How should we write our result when the division of two polynomials has a non-zero remainder of zero? Let's look back at what we did when writing as imperfect fraction, such as \(\dfrac{23}{4}\), as the mixed fraction, \(5 \dfrac{3}{4}\). When we divided 23 and 4 with long division, we have

This tells us that 4 goes into 23 five times with 3 parts out of 4 left over. So we write \[ \dfrac{23}{4} =5 \dfrac{3}{4} \nonumber \] In general, we can write the result of a division as \[\dfrac{\text{dividend}}{\text{divisor}} = \text{quotient}+ \dfrac{\text{remainder}}{\text{divisor}} \nonumber \] We can do the same thing with the two polynomials we divided in exercise 4.3.1. When we divided \(f(x) = 5x^{3} -6x^2-28x+6\) by \( (x+2) \), we had a quotient of \(5x^2-16x+4\) and remainder \(r = -2\). We can write this division as a like a mixed fraction in a similar form \[ \dfrac{5x^3 -6x^2-28x+6}{x+2} = \dfrac{\text{dividend}}{\text{divisor}} = \text{quotient} + \dfrac{\text{remainder}}{\text{divisor}} = (5x^2-16x+4) + \dfrac{-2}{x+2} \nonumber \] Although this is not essential in finding the zeros of larger polynomials, writing the division of two polynomials(which we call rational functions) in this way will help us accomplish some of our goals in Calculus with these types of functions.
Furthermore, in exercise 4.3.1 we could have tested whether or not \(x=-2\) was a zero of the polynomial \(f(x)=5x^{3} -6x^2-28x+6\) by evaluating the polynomial. \[f(-2)=5(-2)^{3} -6(-2)^2-28(-2)+6=-2 \nonumber \] When we divided \(f(x) = 5x^{3} -6x^2-28x+6\) by \( (x+2) \) with long division of polynomials, there was a remainder of -2. Notice that the remainder was the same as the function value at \(x=-2\). This is not a coincidence. When \(x=k\) is not a zero of a polynomial, notice what happens when we divide a polynomial f(x) by \( (x-k) \). \[ \dfrac{f(x)}{x-k} = \dfrac{\text{dividend}}{\text{divisor}} = \text{quotient} + \dfrac{\text{remainder}}{\text{divisor}} \nonumber \] Multiplying both sides of the equation by \( (x-k) \), we have \[ f(x) = \text{dividend} = (\text{quotient})(\text{divisor}) + (\text{remainder}) = (\text{quotient})(x-k) + (\text{remainder}) \nonumber \] Evaluating \(f\) at \(x=k\), we have \[ f(k) = (\text{quotient})(k-k) + (\text{remainder}) = 0 + (\text{remainder}) = (\text{remainder}) \nonumber \]
If \(f(x)\) is a polynomial of degree 1 or greater and k is a real number, then when f(x) is divided by \(x-k\), the remainder is \(r=f(k)\).
Focus: Using Long Division of Polynomials with Complex Zeros
Notice that \(x=i\) is a zero of \(f(x)=x^3-2x^2+x-2\) since \(f(i)= (i)^3-2(i)^2+(i)-2\) = 0. So \( (x-i) \) is a factor of \(f(x)\). At this point, we have a couple options. We could divide \(f(x)=x^3-2x^2+x-2\) by the factor with complex coefficients \( (x-i) \) to find the other factor. However, this would introduce complex numbers into our long division making the long division much more challenging. On the other hand, we do know that complex zeros occur in conjugate pairs. Since \(x=i\) is a zero of \(f(x)\), then so is its complex conjugate \(x=-i\). Therefore, both \( (x-i) \) and \( (x+i) \) are factors of \(f(x)\) and so is their product \( (x-i)(x+i)=x^2+1 \). This factor of \(f(x)\) has only real coefficients and is much easier to use with long division. To find the other factor of \(f(x)=x^3-2x^2+x-2\), we can divide by \( x^2+1 \) as shown in the long division below.

Then we can use this result to factor \(f(x)\) as \[ f(x)=x^3-2x^2+x-2=(x^2+1)(x-2) \nonumber \] These factors correspond to the zeros \(x=i\), \(x=-i\), and \(x=2\) each with multiplicity one.
When looking online, in other textbooks, or prompting and an AI chatbot to divide polynomials, you may encounter a technique called synthetic division. Synthetic division is a technique to streamline polynomial division by a linear factor \( (x-k) \). However, synthetic division can not be used to divide a quadratic or larger polynomial. Polynomial long division must be used in this case.
Focus: Finding Zeros of Larger Polynomials When No Zero is Known
With a polynomial function, initially we will not know a zero. In this case, how can we find a zero? Once we find one zero, we can use long division by the corresponding factor to factor the polynomial and find the other zeros as shown earlier in this section.
To help delevop a strategy to finding a zero of a polynomial when none is know, let's explore how we factor a quadratic function in algegra. When trying to find the zeros the quadratic polynomial \(f(x)=6x^2-x-35\), notice how we chose the terms of each factor as part of our factoring algorithm:
- Choose two first terms whose product in the leading term \(6x^2\). So the coefficients of the first terms are factors of 6.
- Choose two last terms whose product is the constant \(-35\).
- Verify that the product yields the correct middle term.
Using this algorithm to identify the correct terms in each factor and factor the polynomial \(f(x)\), we can find the zeros \[f(x)=6x^2-x-35=0 \nonumber\] \[(3x+7)(2x-5)=0 \nonumber\]Then setting each factor to zero and solving to find the zeros. \[3x+7=0 \text{ and } 2x-5=0 \nonumber\]\[x=\dfrac{-7}{3} \text{ and } x=\dfrac{5}{2} \nonumber\]Notice each of these zeros are fractions where the numerator is a factor of the constant term \(-35\) and the denominator is a factor of the leading coefficient \(6\). In other words, each zero is of the form \[x = \dfrac{\text{a factor of -35}}{\text{a factor of 6}}=\dfrac{\text{a factor of the constant term}}{\text{a factor of the leading coefficient}} \nonumber \]
If another polynomial \(g(x)\) had a factor of \( (5x - 2) \) in addition to the factors of \(f(x)\), then \[g(x) = (5x-2)(3x+7)(2x-5) = 30x^3-12x^2+2x+70 \nonumber \] Notice that each of the first terms of each factor multiply to the leading term \(30x^3\). Each of the last terms of each factor multiply to the constant term \(70\). As we set each factor to zero and solve to find the zeros of \(g(x)\) \[5x -2 =0 \text{ , } 3x+7=0 \text{, and } 2x-5=0 \nonumber\]\[x=\dfrac{2}{5}, x = \dfrac{-7}{3}, \text{ and } x=\dfrac{5}{2} \nonumber\] Once again, each of these zeros are fractions where the numerator is a factor of the constant term \(70\) and the denominator is a factor of the leading coefficient \(30\). In other words, each zero is of the form \[x = \dfrac{\text{a factor of 70}}{\text{a factor of 30}}=\dfrac{\text{a factor of the constant term}}{\text{a factor of the leading coefficient}} \nonumber \] We can generalize what we have demonstrated here with the Rational Zero Theorem.
For a polynomial with integer coefficients
\[f(x)=a_{n} x^{n} +a_{n-1} x^{n-1} +\cdots +a_{1} x+a_{0} \nonumber\]
if \(x\) is a rational zero of \(f\), then \(x\) is of the form \[x= \dfrac{p}{q}=\dfrac{\text{a factor of the constant term }a_{0}}{\text{a factor of the leading coefficient }a_{n}} \nonumber \] where \(p\) is a factor of the constant term \(a_{0}\), and \(q\) is a factor of the leading coefficient \(a_{n} \)
The rational zero theorem gives us a list of possible integer and rational zeros such as \(x=2\) and \(x=\dfrac{2}{3} \). However, the list may not contain all zeros of a polynomial such as irrational real zeros like \( x=\sqrt{2} \) or complex zeros like \(x=2+3i\).
Example \(\PageIndex{4}\)
Let \(f(x)=2x^{4} +4x^{3} -x^{2} -6x-3\).
- Use the Rational Roots Theorem to list all the possible rational zeros of \(f(x)\).
- Find one actual zero.
Solution
- The possible rational zeros are of the form \[x=\dfrac{\text{a factor of the constant term }-3}{\text{a factor of the leading coefficient }2} \nonumber \]The factors of -3 are \(\pm 1\) and \(\pm 3\). The factors of 2 are \(\pm 1\) and \(\pm 2\). So the possible rational zeros are \[x=\dfrac{\pm 1, \pm 3}{\pm 2, \pm 1} \nonumber \] So the Rational Zero Theorem gives the list \[\left\{\pm \dfrac{1}{1},\pm \dfrac{1}{2} ,\pm \dfrac{3}{1} ,\pm \dfrac{3}{2} \right\}\text{ or }\left\{\pm 1,\pm \dfrac{1}{2} ,\pm 3,\pm \dfrac{3}{2} \right\}\nonumber \]
- Testing at \(x=1\), \(f(1) = 2(1)^4+4(1)^3-(1)^2-6(1)-3 = -4 \ne 0\). So \(x=1\) is not a zero. Testing at \(x=3\), \(f(3) = 2(3)^4+4(3)^3-(3)^2-6(3)-3 = 240 \ne 0\). So \(x=3\) is not a zero. Testing at \(x=-1\), \(f(-1) = 2(-1)^4+4(-1)^3-(-1)^2-6(-1)-3 =0\). So \(x=-1\) is a zero of \(f(x)\).
This process could have taken a lot of time to find the actual zero if one there were many more factors of the leading coefficient or the constant term than in example 4.2.4. For this reason, once one rational zero is founde, use long division to find the others instead of trying to use the Rational Zero Theorem to find a second zero.
Example \(\PageIndex{5}\)
Let \(f(x) = x^{3} -x^{2} +3x-10\)
- Use the Rational Zero Theorem to list all the possible rational zeros of \(f(x)\).
- Find one actual zero.
- Use long division of polynomials to find the other zeros of \(f(x)\).
Solution
- The possible rational zeros are of the form \[x=\dfrac{\text{factor of the constant term }-10}{\text{factor of the leading coefficient }1} \nonumber \]The factors of -10 are \(\pm 1\), \(\pm 2\), \(\pm 5\), and \(\pm 3\). The factors of 1 are \(\pm 1\). So the possible rational zeros are \[x=\dfrac{\pm 1, \pm 3, \pm 5, \pm 10}{\pm 1} \nonumber \] So the Rational Zero Theorem gives the list \[\left\{\pm \dfrac{1}{1} ,\pm \dfrac{2}{1} ,\pm \dfrac{5}{1} ,\pm \dfrac{10}{1} \right\}\text{ or }\left\{\pm 1,\pm 2 ,\pm 5,\pm 10 \right\} \nonumber \]
- Testing at \(x=1\), \(f(1) = (1)^{3} -(1)^{2} +3(1)-10 = -7 \ne 0\). So \(x=1\) is not a zero. Testing at \(x=-1\), \(f(-1) = (-1)^{3} -(-1)^{2} +3(-1)-10 = -15 \ne 0\). So \(x=-1\) is not a zero. Testing at \(x=2\), \(f(2) = (2)^{3} -(2)^{2} +3(2)-10 = 0\)). So \(x=2\) is a zero of \(f(x)\).
- Since \(x=2\) is a zero of \(f(x)\), \( (x-2) \) is a factor of \(f(x)\). We can use long division to find the other factor as shown below.

Therefore, we can factor \(f(x)\) as \[ x^{3} -x^{2} +3x-10 = (x-2)(x^2+x+5) \nonumber \] Since the quadratic factor is not easily factored into linear factors, we can set each factor to zero \[x-2=0 \text{ and } x^2+x+5=0 \nonumber \] The first equation gives us the known zero \[x=2 \nonumber \] Using the quadratic formula to solve the second equation, the other zeros are \[x=\dfrac{-1 \pm \sqrt{1^2-4(1)(5)}}{2(1)}=\dfrac{-1 \pm \sqrt{-19}}{2}= \dfrac{-1 \pm i\sqrt{19}}{2}=\dfrac{-1}{2} \pm \dfrac{i\sqrt{19}}{2} \nonumber \] So the only real zero (and x-intercept) is \(x=2\) with multiplicity one.
Notice the complex zeros were not even in our list of possible zeros. This is one down side of the rational zero theorem. It will not give us irrational or complex zeros.
Find the real zeros of \(f(x)=2x^{3} -5x^{2} -x+1\).
Solution
Since no zeros are known, we must use the Rational Zero Theorem to find one, if possible. The possible rational zeros are of the form \[x=\dfrac{\text{factor of the constant term }1}{\text{factor of the leading coefficient }2} = \dfrac{\pm 1}{\pm 1, \pm 2}\nonumber \]So the possible rational zeros are \[\left\{\pm \dfrac{1}{1} ,\pm \dfrac{1}{2} \right\}\text{ ,or }\left\{\pm 1,\pm \dfrac{1}{2} \right\}\nonumber \]Testing at \(x=1\), \(f(1) = 2(1)^{3} -5(1)^{2} -(1)+1 = -3 \ne 0\). So \(x=1\) is not a zero. Testing at \(x=\dfrac{1}{2}\), \(f(\dfrac{1}{2}) = 2(\dfrac{1}{2})^{3} -5(\dfrac{1}{2})^{2} -(\dfrac{1}{2})+1 = -0.5 \ne 0\). So \(x=\dfrac{1}{2}\) is not a zero. Testing at \(x=\dfrac{-1}{2}\), \(f(\dfrac{-1}{2}) = 2(\dfrac{-1}{2})^{3} -5(\dfrac{-1}{2})^{2} -(\dfrac{-1}{2})+1 = 0\). So \(x=\dfrac{-1}{2}\) is a zero of \(f(x)\).
Then \( (x+\dfrac{1}{2}) \) is a factor of \(f(x)\). We can use long division to find the other factor as shown below.
Therefore, we can factor \(f(x)\) as \[ x^{3} -5x^{2} -x+1 = \left(x+\dfrac{1}{2} \right)\left(2x^{2} -6x+2\right) \nonumber \] Setting the second factor to zero to find the remaining zeros, then pulling out a common factor \[2x^{2} -6x+2=2(x^{2} -3x+1)=0 \nonumber \] and use the quadratic equation to solve for the zeros \[x=\dfrac{3 \pm \sqrt{(-3)^2-4(1)(1)}}{2(1)}=\dfrac{-3 \pm \sqrt{5}}{2} \nonumber \] So the real zeros (and x-intercepts) are \(x=\dfrac{-1}{2}\), \(x\approx 2.618\), and \(x \approx 0.382\) each with multiplicity one.
List all possible rational zeros of \(f(x)=4x^{3} -10x^{2} +4x+3\).
- Answer
-
The possible rational zeros are of the form \[x=\dfrac{\text{factor of the constant term }3}{\text{factor of the leading coefficient }4} \nonumber \]So the possible rational zeros are \[x=\dfrac{\pm 1, \pm 3}{\pm 1, \pm 2,\pm 4} \nonumber \]\[\left\{\pm \dfrac{1}{1} ,\pm \dfrac{3}{1} =,\pm \dfrac{1}{2} ,\pm \dfrac{3}{2}, \pm \dfrac{1}{4}, \pm \dfrac{3}{4} \right\}\text{ or }\left\{\pm 1,\pm 3 ,\pm \dfrac{1}{2} ,\pm \dfrac{3}{2}, \pm \dfrac{1}{4}, \pm \dfrac{3}{4} \right\} \nonumber \]
Let \(f(x)=x^{3} +4x^{2} +4x+3\)
- Use the Rational Roots Theorem to list all the possible rational zeros of \(f(x)\).
- Find one actual zero.
- Use long division of polynomials to find the other zeros.
- Answer
-
- The possible rational zeros are he possible rational zeros are \[\left\{\pm \dfrac{1}{1} ,\pm \dfrac{3}{1} \right\}\text{ or }\left\{\pm 1,\pm 3 \right\} \nonumber \]
- Testing at \(x=-3\), \(f(-3) = (-2)^{3} +4(-3)^{2} +4(-3)+3 = 0\)). So \(x=-3\) is a zero of \(f(x)\).
- Since \(x=-3\) is a zero of \(f(x)\), \( (x+3) \) is a factor of \(f(x)\). Using long division to find the other factor, we can factor \(f(x)\) as \[ x^{3} +4x^{2}+ 4x+3 = (x+3)(x^2+x+1) \nonumber \] Using the quadratic formula to find the zeros of the second factor, the other zeros are \[ x=\dfrac{-1}{2} \pm \dfrac{i\sqrt{3}}{2} \nonumber \] All of the zeros have multiplicity one.
All of the polynomials we have worked with so far have had degree three. Let's explore the case where we want to find the zeros of a larger polynomial like \(f(x)=x^4+x^3-3x^2-5x-2\). We would use the rational zero theorem to identify one zero such as \(x=2\), the use long division by the corresponding factor \( (x-2) \) to find the other factor. This would allow us to factor \(f(x)\) as \[f(x)=x^4+x^3-3x^2-5x-2=(x-2)(x^3+3x^2+3x+1) \nonumber \] Notice, the second factor is a cubic polynomial. We need to use the Rational Zero Theorem and long division a second time to factor this factor of \(f(x)\) further. We would find a zero such as \(x=-1\) and divide by the corresponding factor \( (x+1) \) to factor \[f(x)=(x-2)(x^3+3x^2+3x+1)=(x-2)(x+1)(x^2+2x+1) \nonumber \]Then we can factor the quadratic polynomial to fully factor \(f(x)\) and find the zeros. \[f(x)=(x-2)(x+1)^3 \nonumber \]The zeros are \(x=2\) with multiplicity one and \(x=-1\) with multiplicity three.
Focus: Approximating Zeros
Although the rational zero theorem is a powerful tool, it allows us to find only the rational zeros that can be written as a fraction of two integers. Some larger polynomials may not have any rational zeros, such as \(f(x)=x^4-5x^2+6=(x^2-2)(x^2-3)\) with irrational zeros \(x= \pm \sqrt{2} \) and \(x= \pm \sqrt{3} \). In this case, the Rational Zero Theorem doesn't help us identify a zero or factor the polynomial. We must turn to approximation methods to approximate the zeros. We will explore the use on one approximation method, The Midpoint Algorithm.
We can utilize an important graphical property of polynomials to approximate a zero. Notice, the graph of a polynomial function, such as \(f(x)=x^2-2 \) or \(f(x)=x^4-5x^2+6\) can drawn with out lifting your pencil for all values of \(x\). We call a function whose graph can be drawn with out lifting your pencil a continuous function.

A function \(y=f(x)\) is continuous at \(x=a\) if its graph can be drawn without lifting your pencil near \(x=a\).
Consider the polynomial \(f(x)=x^2-2\). Although we can use techniques from algebra to solve the equation \(f(x)=x^2-2=0\) by isolation to find the irrational zeros \(x= \pm \sqrt{2} \approx 1.414 \), let's explore how we can approximate the location of one of these zeros of this polynomial. Notice, the polynomial goes from a negative value \(y=f(1)=-1\) at \(x=1\) to a positive value \(y=f(3)=7\) at \(x=3\). Since the graph of \(f\) is continuous is must cross the x-axis somewhere in the interval \([1,3]\)

We can use this idea to get an even closer approximation of the actual zero using the Midpoint Algorithm on \(f(x) =x^2-2\) on the interval \( [1,3] \).
- First, identify the midpoint of the interval: \[x_{1} = \dfrac{1+3}{2}=2 \nonumber\]
- Evaluate the function at the midpoint: \[f(x_{1}) = f(2)^2-2=2 \nonumber\]
- The midpoint breaks the interval into two subintervals [1,2] and [2,3]. Compare the function value at each endpoint on each subinterval. A zero lies in the subinterval that changes sign. On the interval [1,2], the function goes from a negative value \(y=f(1)=-1\) at \(x=1\) to a positive value \(y=f(2)=7\) at \(x=2\). So the zero must occur in this interval. On the interval [2,3], the function goes from a positive value \(y=f(2)=2\) at \(x=2\) to a positive value \(y=f(2)=7\) at \(x=2\) as shown in the graph below. So a zero may not occur in this interval.

If we repeat the midpoint algorithm with this smaller subinterval [1,2], we will get an even closer approximation than the previous midpoint \(x_{1}\) as shown in the graph below (left).
- Identify the midpoint of the interval: \[x_{2} = \dfrac{1+2}{2}=1.5 \nonumber\]
- Evaluate the function at the midpoint: \[f(x_{2}) = f(1.5) = (1.5)^2-2=0.25 \nonumber\] This is not a zero, but is much closer to out actual zero \(x= \sqrt{2} \approx 1.414 \)
- The midpoint breaks the interval into two subintervals [1,1.5] and [1.5,2]. Comparing the function value at each endpoint on each subinterval, we have \(y=f(1)=-1\), \(y=f(1.5)=0.25\), and \(y=f(2)=7\). So a zero occurs in the interval [1,1.5].

Repeating the midpoint algorithm a third time on [1,1.5]
- Identify the midpoint of the interval: \[x_{3} = \dfrac{1+1.5}{2}=1.25 \nonumber\]
- Evaluate the function at the midpoint: \[f(x_{3}) = f(1.25) = (1.25)^2-2=-0.4375 \nonumber\]
- The midpoint breaks the interval into two subintervals [1,1.25] and [1.25,1.5]. Comparing the function value at each endpoint on each subinterval, we have \(y=f(1)=-1\), \(y=f(1.25)=-0.4375\), and \(y=f(1.25)=-0.4375\). So a zero must occur in the interval [1.25,1.5].

Repeating this algorithm on successive smaller subintervals, will give us a better and better approximation of the actual zero as shown in the table below.
| The interval [a,b] | [1.25,1.5] | [1.3751, 1.5] | [1.3751, 1.4375] | [1.4063,1.4375] |
| The midpoint \(x_{mid}\) | \( \dfrac{1.25+1.5}{2} \approx 1.3751 \) | \( \dfrac{1.3751+1.5}{2} \approx 1.4375 \) |
\( \dfrac{1.3751+1.4375}{2}\) \( \approx 1.4063 \) |
\( \dfrac{1.4063 + 1.4375}{2} \) \(\approx 1.4219\) |
| The value at the midpoint \(y=f(x_{mid})\) | \( f(1.3751) \approx -0.4375 \) | \( f(1.4375) \approx 0.0664 \) | \( f(1.4063) \approx -0.02246 \) | \( f(1.4219) \approx 0.0217 \) |
|
Compare the values at each endpoint |
\(f(1.25)=-0.4375 \), \(f(1.3751) =-0.1094\) and \( f(1.5) =0.25 \) |
\( f(1.3751)=-0.1094 \), \( f(1.4063) \approx 0.0664 \), and \( f(1.5) =0.25 \) | \(f(1.3751) =-0.1094\), \( f(1.4063)\approx -0.02246 \), and \(f(1.4375) \approx 0.0664 \) | \(f(1.4063) \approx -0.02246\), \(f(1.4219) \approx 0.0217 \), and \( f(1.4375) \approx 0.0664 \) |
After our last iteration, the approximated zero \( x \approx 1.4219\) is within 0.01 of the actual zero \(x= \sqrt{2} \approx 1.4142 \). We could continue with this algorithm on the interval [1.4063,1.4219] if we wanted an even better approximation of the zero. This kind of algorithm can be easily utilized with technology and computer programming to implement this algorithm many times in seconds or fractions of a second to get a very accurate approximation.
Strategy for Approximating Zeros: The Midpoint Algorithm
To approximate the zero of a polynomial on an interval [a,b] where the function value differs in sign at the endpoints
- Identify the midpoint of the interval: \[x = \dfrac{a+b}{2} \nonumber\]
- Evaluate the function at the midpoint:
- Compare the function value at each endpoint on each subinterval.
- Repeat the algorithm on the subinterval where the function value changes sign to find a more accurate approximation of the zero..
Approximate a real zero of the polynomial of \(f(x)=8x^{3} +2x^{2} -1\) on the interval [-1,1] using five iterations of The Midpoint Algorithm.
Solution
| The interval [a,b] | [-1,1] | [0, 1] | [0, 0.5] | [0.25,0.5] | [0.375,0.5] |
| The midpoint \(x_{mid}\) | \( \dfrac{-1+1}{2} =0 \) | \( \dfrac{0+1}{2} \approx 0.5\) | \( \dfrac{0+0.5}{2} \approx 0.25 \) | \( \dfrac{0.25 + 0.5}{2}=0.375 \) | \( \dfrac{0.375 + 0.5}{2}=0.1875 \) |
| The value at the midpoint \(y=f(x_{mid})\) | \( f(0)=-1 \) | \( f(0.5) = 0.4 \) | \( f(0.25)=-0.75 \) |
\( f(0.375) \approx \) \(-0.000000042 \) |
\( f(0.1875) \approx -0.877 \) |
|
Compare the values at each endpoint |
\(f(-1)= -7\), \(f(0) =-1\), and \( f(1) =9 \) |
\( f(0)=-1 \), \( f(0.5)=.5 \), and \( f(1) = 9 \) | \( f(0)=-1 \),\(f(0.25)=-0.75 \), and \( f(0.5)=.5 \) |
\(f(0.25)=-0.75 \), \( f(0.375) \approx \) \(-0.000000042 \), and \( f(0.5)=.5 \) |
\( f(0.375) \approx \) \(-0.000000042 \), \( f(0.1875) \approx -0.877 \), and \( f(0.5)=.5 \) |
Although the last iteration of The Midpoint Algorithm gives the approximation of the zero \( x \approx 0.1875\), notice that \(x=0.375\) is a better approximation of the zero since \( f(0.375) \approx -0.000000042 \)
Approximate a real zero of the polynomial of \(f(x)=x^{5} -x^{4} -1\) on the interval [1,2] using five iterations of The Midpoint Algorithm.
Although the last iteration of The Midpoint Algorithm gives the approximation of the zero \( x \approx 1.3438\), notice that \(x \approx 1.3125\) is a better approximation of the zero since \( f(1.3438) \approx 0.1208 \).
- Answer
-
The interval [a,b] [1,2] [1, 1.5] [1.25, 1.5] [1.25,1.375] [1.3125,1.375] The midpoint \(x_{mid}\) 1.5 1.25 1.375 1.3125 1.3438 The value at the midpoint \(y=f(x_{mid})\) \( f(1.5) \approx 1.53 \) \( f(1.25) \approx -0.3897 \) \( f(1.375 ) \approx 0.3404 \) \( f(1.3125) \approx \)
\(-0.0726 \)
\( f(1.3438) \approx \)
\(0.1208 \)
Compare the values at each endpoint
\(f(1)= -1\), \( f(1.5) \approx 1.53 \), and \( f(2) =15 \)
\(f(1)= -1\), \( f(1.25) \approx -0.3897 \), and \( f(1.5) \approx 1.53 \) \( f(1.25) \approx -0.3897 \), \( f(1.375 ) \approx 0.3404 \), and \( f(1.5) \approx 1.53 \) \( f(1.25) \approx \)
\(-0.3897 \),
\( f(1.3125) \approx\)
\(-0.0726 \), and
\( f(1.375 ) \approx \)
\(0.3404 \)
\( f(1.3125) \approx \)
\(-0.0726 \),
\( f(1.3438) \approx \)
\(0.1208 \), and
\( f(1.375 ) \approx \)
\(0.3404 \)
Important Topics of this Section
- Finding Zeros of Polynomials
- Long Division of Polynomials
- The Rational Zero Theorem.
- Approximating Zeros of Polynomials

