6.1: Products of Groups
- Page ID
- 98004
\( \newcommand{\vecs}[1]{\overset { \scriptstyle \rightharpoonup} {\mathbf{#1}} } \)
\( \newcommand{\vecd}[1]{\overset{-\!-\!\rightharpoonup}{\vphantom{a}\smash {#1}}} \)
\( \newcommand{\dsum}{\displaystyle\sum\limits} \)
\( \newcommand{\dint}{\displaystyle\int\limits} \)
\( \newcommand{\dlim}{\displaystyle\lim\limits} \)
\( \newcommand{\id}{\mathrm{id}}\) \( \newcommand{\Span}{\mathrm{span}}\)
( \newcommand{\kernel}{\mathrm{null}\,}\) \( \newcommand{\range}{\mathrm{range}\,}\)
\( \newcommand{\RealPart}{\mathrm{Re}}\) \( \newcommand{\ImaginaryPart}{\mathrm{Im}}\)
\( \newcommand{\Argument}{\mathrm{Arg}}\) \( \newcommand{\norm}[1]{\| #1 \|}\)
\( \newcommand{\inner}[2]{\langle #1, #2 \rangle}\)
\( \newcommand{\Span}{\mathrm{span}}\)
\( \newcommand{\id}{\mathrm{id}}\)
\( \newcommand{\Span}{\mathrm{span}}\)
\( \newcommand{\kernel}{\mathrm{null}\,}\)
\( \newcommand{\range}{\mathrm{range}\,}\)
\( \newcommand{\RealPart}{\mathrm{Re}}\)
\( \newcommand{\ImaginaryPart}{\mathrm{Im}}\)
\( \newcommand{\Argument}{\mathrm{Arg}}\)
\( \newcommand{\norm}[1]{\| #1 \|}\)
\( \newcommand{\inner}[2]{\langle #1, #2 \rangle}\)
\( \newcommand{\Span}{\mathrm{span}}\) \( \newcommand{\AA}{\unicode[.8,0]{x212B}}\)
\( \newcommand{\vectorA}[1]{\vec{#1}} % arrow\)
\( \newcommand{\vectorAt}[1]{\vec{\text{#1}}} % arrow\)
\( \newcommand{\vectorB}[1]{\overset { \scriptstyle \rightharpoonup} {\mathbf{#1}} } \)
\( \newcommand{\vectorC}[1]{\textbf{#1}} \)
\( \newcommand{\vectorD}[1]{\overrightarrow{#1}} \)
\( \newcommand{\vectorDt}[1]{\overrightarrow{\text{#1}}} \)
\( \newcommand{\vectE}[1]{\overset{-\!-\!\rightharpoonup}{\vphantom{a}\smash{\mathbf {#1}}}} \)
\( \newcommand{\vecs}[1]{\overset { \scriptstyle \rightharpoonup} {\mathbf{#1}} } \)
\(\newcommand{\longvect}{\overrightarrow}\)
\( \newcommand{\vecd}[1]{\overset{-\!-\!\rightharpoonup}{\vphantom{a}\smash {#1}}} \)
\(\newcommand{\avec}{\mathbf a}\) \(\newcommand{\bvec}{\mathbf b}\) \(\newcommand{\cvec}{\mathbf c}\) \(\newcommand{\dvec}{\mathbf d}\) \(\newcommand{\dtil}{\widetilde{\mathbf d}}\) \(\newcommand{\evec}{\mathbf e}\) \(\newcommand{\fvec}{\mathbf f}\) \(\newcommand{\nvec}{\mathbf n}\) \(\newcommand{\pvec}{\mathbf p}\) \(\newcommand{\qvec}{\mathbf q}\) \(\newcommand{\svec}{\mathbf s}\) \(\newcommand{\tvec}{\mathbf t}\) \(\newcommand{\uvec}{\mathbf u}\) \(\newcommand{\vvec}{\mathbf v}\) \(\newcommand{\wvec}{\mathbf w}\) \(\newcommand{\xvec}{\mathbf x}\) \(\newcommand{\yvec}{\mathbf y}\) \(\newcommand{\zvec}{\mathbf z}\) \(\newcommand{\rvec}{\mathbf r}\) \(\newcommand{\mvec}{\mathbf m}\) \(\newcommand{\zerovec}{\mathbf 0}\) \(\newcommand{\onevec}{\mathbf 1}\) \(\newcommand{\real}{\mathbb R}\) \(\newcommand{\twovec}[2]{\left[\begin{array}{r}#1 \\ #2 \end{array}\right]}\) \(\newcommand{\ctwovec}[2]{\left[\begin{array}{c}#1 \\ #2 \end{array}\right]}\) \(\newcommand{\threevec}[3]{\left[\begin{array}{r}#1 \\ #2 \\ #3 \end{array}\right]}\) \(\newcommand{\cthreevec}[3]{\left[\begin{array}{c}#1 \\ #2 \\ #3 \end{array}\right]}\) \(\newcommand{\fourvec}[4]{\left[\begin{array}{r}#1 \\ #2 \\ #3 \\ #4 \end{array}\right]}\) \(\newcommand{\cfourvec}[4]{\left[\begin{array}{c}#1 \\ #2 \\ #3 \\ #4 \end{array}\right]}\) \(\newcommand{\fivevec}[5]{\left[\begin{array}{r}#1 \\ #2 \\ #3 \\ #4 \\ #5 \\ \end{array}\right]}\) \(\newcommand{\cfivevec}[5]{\left[\begin{array}{c}#1 \\ #2 \\ #3 \\ #4 \\ #5 \\ \end{array}\right]}\) \(\newcommand{\mattwo}[4]{\left[\begin{array}{rr}#1 \amp #2 \\ #3 \amp #4 \\ \end{array}\right]}\) \(\newcommand{\laspan}[1]{\text{Span}\{#1\}}\) \(\newcommand{\bcal}{\cal B}\) \(\newcommand{\ccal}{\cal C}\) \(\newcommand{\scal}{\cal S}\) \(\newcommand{\wcal}{\cal W}\) \(\newcommand{\ecal}{\cal E}\) \(\newcommand{\coords}[2]{\left\{#1\right\}_{#2}}\) \(\newcommand{\gray}[1]{\color{gray}{#1}}\) \(\newcommand{\lgray}[1]{\color{lightgray}{#1}}\) \(\newcommand{\rank}{\operatorname{rank}}\) \(\newcommand{\row}{\text{Row}}\) \(\newcommand{\col}{\text{Col}}\) \(\renewcommand{\row}{\text{Row}}\) \(\newcommand{\nul}{\text{Nul}}\) \(\newcommand{\var}{\text{Var}}\) \(\newcommand{\corr}{\text{corr}}\) \(\newcommand{\len}[1]{\left|#1\right|}\) \(\newcommand{\bbar}{\overline{\bvec}}\) \(\newcommand{\bhat}{\widehat{\bvec}}\) \(\newcommand{\bperp}{\bvec^\perp}\) \(\newcommand{\xhat}{\widehat{\xvec}}\) \(\newcommand{\vhat}{\widehat{\vvec}}\) \(\newcommand{\uhat}{\widehat{\uvec}}\) \(\newcommand{\what}{\widehat{\wvec}}\) \(\newcommand{\Sighat}{\widehat{\Sigma}}\) \(\newcommand{\lt}{<}\) \(\newcommand{\gt}{>}\) \(\newcommand{\amp}{&}\) \(\definecolor{fillinmathshade}{gray}{0.9}\)In this section, we will discuss a method for using existing groups as building blocks to form new groups.
Suppose \((G,*)\) and \((H,\odot)\) are two groups. Recall that the Cartesian product of \(G\) and \(H\) is defined to be \[G\times H=\{(g,h)\mid g\in G,h\in H\}\] Using the binary operations for the groups \(G\) and \(H\), we can define a binary operation on the set \(G\times H\). Define \(\star\) on \(G\times H\) via \[(g_1,h_1)\star(g_2,h_2)=(g_1*g_2,h_1\odot h_2).\] This looks fancier than it is. We’re just doing the operation of each group in the appropriate component. It turns out that \((G\times H,\star)\) is a group.
Suppose \((G,*)\) and \((H,\odot)\) are two groups, where \(e\) and \(e'\) are the identity elements of \(G\) and \(H\), respectively. Then \((G\times H,\star)\) is a group, where \(\star\) is defined as above. Moreover, \((e,e')\) is the identity of \(G\times H\) and the inverse of \((g,h)\in G\times H\) is given by \((g,h)^{-1}=(g^{-1},h^{-1})\).
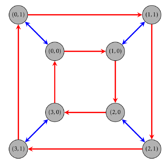
We refer to \(G\times H\) as the direct product of the groups \(G\) and \(H\). In this case, each of \(G\) and \(H\) is called a factor of the direct product. We often abbreviate \((g_1,h_1)\star(g_2,h_2)=(g_1*g_2,h_1\odot h_2)\) by \((g_1,h_1)(g_2,h_2)=(g_1 g_2,h_1 h_2)\). One exception to this is if we are using the operation of addition in each component. For example, consider \(\mathbb{Z}_4\times \mathbb{Z}_2\) under the operation of addition mod 4 in the first component and addition mod 2 in the second component. Then \[\mathbb{Z}_4 \times \mathbb{Z}_2=\{(0,0),(1,0),(2,0),(3,0),(0,1),(1,1),(2,1),(3,1)\}.\] In this case, we will use additive notation in \(\mathbb{Z}_4\times \mathbb{Z}_2\). For example, in \(\mathbb{Z}_4 \times \mathbb{Z}_2\) we have \[(2,1)+(3,1)=(1,0)\] and \[(1,0)+(2,1)=(3,1).\] Moreover, the identity of the group is \((0,0)\). As an example, the inverse of \((1,1)\) is \((3,1)\) since \((1,1)+(3,1)=(0,0)\). There is a very natural generating set for \(\mathbb{Z}_4\times \mathbb{Z}_2\), namely, \(\{(1,0),(0,1)\}\) since \(1\in \mathbb{Z}_4\) and \(1\in \mathbb{Z}_2\) generate \(\mathbb{Z}_4\) and \(\mathbb{Z}_2\), respectively. The corresponding Cayley diagram is given in Figure \(\PageIndex{1}\).
Consider the group \(\mathbb{Z}_4 \times \mathbb{Z}_2\). Is this group abelian? Is the group cyclic? Determine whether \(\mathbb{Z}_4 \times \mathbb{Z}_2\) is isomorphic to any of \(D_4\), \(Q_8\), \(\mathbb{Z}_8\), or \(L_3\).
The upshot of the previous problem is that there are at least five groups of order 8 up to isomorphism. It turns out that there are exactly five groups of order 8 up to isomorphism. In particular, every group of order 8 is isomorphic to one of the following groups: \(\mathbb{Z}_8\), \(\mathbb{Z}_4 \times \mathbb{Z}_2\), \(L_3\), \(D_4\), and \(Q_8\). Note that \(R_8\cong \mathbb{Z}_8\) and \(\text{Spin}_{1\times 2}\cong D_4\). Three of the isomorphism classes correspond to abelian groups while the other two correspond to non-abelian groups. Unfortunately, we will not develop the tools necessary to prove that this classification is complete.
The next two theorems should not be terribly surprising.
If \(G_1\) and \(G_2\) are groups, then \(G_1\times G_2\cong G_2\times G_1\).
Suppose \(G_1\) and \(G_2\) are groups with identities \(e_1\) and \(e_2\), respectively. Then \(\{e_1\}\times G_2\cong G_2\) and \(G_1\times \{e_2\}\cong G_1\).
There’s no reason we can’t take the direct product of more than two groups. If \(A_1, A_2, \ldots, A_n\) is a collection of sets, we define \[\prod_{i=1}^nA_i:=A_1\times A_2\times \cdots \times A_n.\] Each element of \(\prod_{i=1}^nA_i\) is of the form \((a_1,a_2,\ldots, a_n)\), where \(a_i\in A_i\).
Let \(G_1, G_2,\ldots, G_n\) be groups. For \((a_1,a_2, \ldots, a_n), (b_1,b_2,\ldots, b_n)\in \prod_{i=1}^nG_i\), define \[(a_1,a_2, \ldots, a_n)(b_1,b_2,\ldots, b_n)=(a_1b_1,a_2b_2,\ldots, a_nb_n).\] Then \(\prod_{i=1}^nG_i\), the direct product of \(G_1,\ldots, G_n\), is a group under this binary operation.
One way to think about direct products is that we can navigate the product by navigating each factor simultaneously but independently. Computing the order of a group that is a direct product is straightforward.
Let \(G_1, G_2,\ldots, G_n\) be finite groups. Then \[|G_1\times G_2\times \cdots \times G_n|=|G_1|\cdot|G_2|\cdots |G_n|.\]
Let \(G_1, G_2,\ldots, G_n\) be groups. Then \(|G_1\times G_2\times \cdots \times G_n|\) is infinite if and only if at least one \(|G_i|\) is infinite.
The following theorem should be clear.
Let \(G_1, G_2,\ldots, G_n\) be groups. Then \(\prod_{i=1}^nG_i\) is abelian if and only if each \(G_i\) is abelian.
Let’s play with a few more examples.
Draw the Cayley diagram for \(\mathbb{Z}_2\times \mathbb{Z}_3\) using \(\{(1,0),(0,1)\}\) as the generating set. Is \(\mathbb{Z}_2\times \mathbb{Z}_3\) an abelian group? Is it cyclic? What familiar group is \(\mathbb{Z}_2\times \mathbb{Z}_3\) isomorphic to?
Consider \(\mathbb{Z}_2\times \mathbb{Z}_2\) under the operation of addition mod 2 in each component. Find a generating set for \(\mathbb{Z}_2\times \mathbb{Z}_2\) and then create a Cayley diagram for this group. What well-known group is \(\mathbb{Z}_2\times \mathbb{Z}_2\) isomorphic to?
Consider the similarities and differences between \(\mathbb{Z}_2\times \mathbb{Z}_3\) and \(\mathbb{Z}_2\times \mathbb{Z}_2\). Both groups are abelian by Theorem \(\PageIndex{7}\), but only the former is cyclic. Here’s another exercise.
Consider the group \(\mathbb{Z}_2 \times \mathbb{Z}_2 \times \mathbb{Z}_2\). Find a generating set for \(\mathbb{Z}_2 \times \mathbb{Z}_2 \times \mathbb{Z}_2\) and then create a Cayley diagram for this group. Is there a group that we have seen before that \(\mathbb{Z}_2 \times \mathbb{Z}_2 \times \mathbb{Z}_2\) isomorphic to?
The next theorem tells us how to compute the order of an element in a direct product of groups.
Suppose \(G_1, G_2,\ldots, G_n\) are groups and let \((g_1,g_2,\ldots, g_n)\in \prod_{i=1}^nG_i\). If \(|g_i|=r_i<\infty\), then \(|(g_1,g_2,\ldots, g_n)|=\text{lcm}(r_1,r_2,\ldots,r_n)\).
Find the order of each of the following elements.
- \((6,5)\in\mathbb{Z}_{12}\times \mathbb{Z}_7\).
- \((r,i)\in D_3\times Q_8\).
- \(((1,2)(3,4),3)\in S_4\times \mathbb{Z}_{15}\).
Find the largest possible order of elements in each of the following groups.
- \(\mathbb{Z}_6\times \mathbb{Z}_8\)
- \(\mathbb{Z}_9\times \mathbb{Z}_{12}\)
- \(\mathbb{Z}_4\times \mathbb{Z}_{18}\times \mathbb{Z}_{15}\)
The group \(\mathbb{Z}_m\times \mathbb{Z}_n\) is cyclic if and only if \(m\) and \(n\) are relatively prime.
The group \(\mathbb{Z}_m\times \mathbb{Z}_n\) is isomorphic to \(\mathbb{Z}_{mn}\) if and only if \(m\) and \(n\) are relatively prime.
The previous results can be extended to more than two factors.
The group \(\prod_{i=1}^n \mathbb{Z}_{m_i}\) is cyclic and isomorphic to \(\mathbb{Z}_{m_1m_2\cdots m_n}\) if and only if every pair from the collection \(\{m_1,m_2,\ldots, m_n\}\) is relatively prime.
Determine whether each of the following groups is cyclic.
- \(\mathbb{Z}_7\times \mathbb{Z}_8\)
- \(\mathbb{Z}_7\times \mathbb{Z}_7\)
- \(\mathbb{Z}_2\times \mathbb{Z}_7\times \mathbb{Z}_8\)
- \(\mathbb{Z}_5\times \mathbb{Z}_7\times \mathbb{Z}_8\)
Suppose \(n=p_1^{n_1}p_2^{n_2}\cdots p_r^{n_r}\), where each \(p_i\) is a distinct prime number. Then \[\mathbb{Z}_n\cong \mathbb{Z}_{p_1^{n_1}}\times \mathbb{Z}_{p_2^{n_2}}\times \cdots \times \mathbb{Z}_{p_r^{n_r}}.\]
The next theorem tells us that the direct product of subgroups is always a subgroup.
Suppose \(G_1\) and \(G_2\) are groups such that \(H_1\leq G_1\) and \(H_2\leq G_2\). Then \(H_1\times H_2\leq G_1\times G_2\).
However, not every subgroup of a direct product has the form above.
Find an example that illustrates that not every subgroup of a direct product is the direct product of subgroups of the factors.
Can we extend Theorem \(\PageIndex{12}\) to normal subgroups? That is, if \(H_1\trianglelefteq G_1\) and \(H_2\trianglelefteq G_2\), is it the case that \(H_1\times H_2\trianglelefteq G_1\times G_2\)? If so, prove it. Otherwise, provide a counterexample.
The next theorem describes precisely the structure of finite abelian groups. We will omit its proof, but allow ourselves to utilize it as needed.
Every finitely generated abelian group \(G\) is isomorphic to a direct product of cyclic groups of the form \[\mathbb{Z}_{p_1^{n_1}}\times \mathbb{Z}_{p_2^{n_2}}\times \cdots \times \mathbb{Z}_{p_r^{n_r}}\times \mathbb{Z}^k,\] where each \(p_i\) is a prime number (not necessarily distinct). The product is unique up to rearrangement of the factors.
Note that the number \(k\) is called the Betti number. A finitely generated abelian group is finite if and only if the Betti number is 0.
Find all abelian groups up to isomorphism of order 8. How many different groups up to isomorphism (both abelian and non-abelian) have we seen and what are they?
Find all abelian groups up to isomorphism for each of the following orders.
- 16
- 12
- 25
- 30
- 60


